Экс-депутат Тлеубаев строит Marriott на Тоболе: зачем сотни миллионов из бюджета

Экс-депутат
Экс-депутат Тлеубаев строит Marriot на Тоболе: зачем сотни миллионов из бюджета
Пока частная компания возводит будущий источник прибыли, инженерные сети к нему решили проложить за счёт бюджета.

На берегу Тобола в Костанайском районе строят четырёхзвёздочный Courtyard by Marriott Kostanay — десять этажей, 142 номера на 284 места, конференц-зал на 600 мест, рестораны, спа и скай-бар с видом на реку. Проект оценивается в 15,9 млрд тенге и реализуется частным инвестором. Но часть инфраструктуры, без которой гостиница не сможет функционировать, подводится уже за счёт бюджетных средств.

Строительство началось летом 2025 года. Тогда сообщалось, что уже залит фундамент на 1400 свай. Сейчас акимат называет срок ввода — 2028 год.

Красивая история, если бы не одно обстоятельство.

309 миллионов из вашего кармана

Пока частная компания возводит будущий источник прибыли, инженерные сети к нему решили проложить за счёт бюджета.

Goszakup.gov.kz
Goszakup.gov.kz/Фото qumash.kz

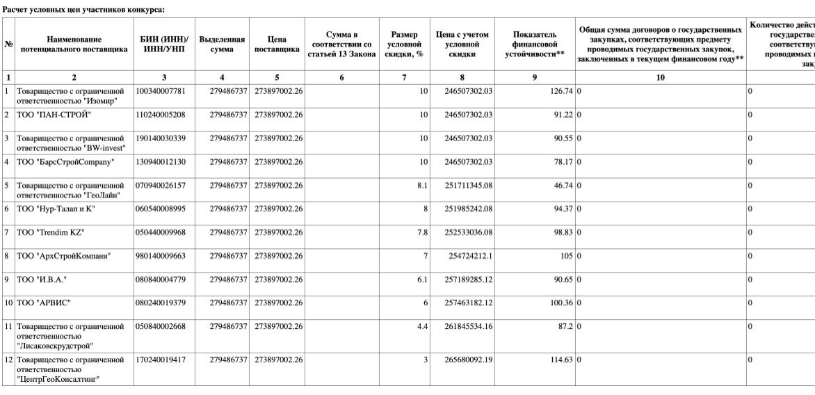
Управление государственных закупок акимата Костанайской области провело тендер на строительство наружных сетей водоснабжения и канализации для гостиничного комплекса. Заказчик — отдел строительства акимата Костанайского района. Начальная цена — 279,4 млн тенге.

Goszakup.gov.kz
Goszakup.gov.kz/Фото qumash.kz

Тендер завершился 1 апреля. Победителем признали ТОО "Изомир", предложившее выполнить работы за 273,9 млн тенге. Но сам конкурс оставил больше вопросов, чем ответов: все 12 участников подали заявки с абсолютно одинаковой суммой — 273 897 002 тенге. Победившая компания отправила заявку последней - 31 марта в 19:21, за несколько часов до закрытия приема предложений. 

Goszakup.gov.kz
Goszakup.gov.kz/Фото qumash.kz

На этом бюджетная щедрость не закончилась. Параллельно через госзакупки прошёл контракт на строительство внешних сетей газоснабжения к тому же объекту — ещё 26,62 млн тенге. Заказчик — государственное учреждение "Отдел экономики и финансов" акимата Костанайского района.

Отдельно — технический надзор за водоснабжением и канализацией: 8,1 млн тенге. И ещё почти 780 тыс. тенге — надзор по газоснабжению. Это начальные цены лотов на сайте госзакупок.

В совокупности с основным контрактом на 273,9 млн тенге общий объём бюджетных расходов на инфраструктуру для частного люксового отеля составляет примерно 309,4 млн тенге.

Goszakup.gov.kz
Goszakup.gov.kz/Фото qumash.kz

Официальный ответ: всё по правилам

В акимате Костанайского района на запрос Qumash.kz ответили, пусть и не на главный вопрос. Чиновники объяснили, что решение о прокладке инженерных коммуникаций принято "согласно пунктам 9 и 10 "Правил подведения инженерной инфраструктуры", утверждённых постановлением Правительства РК от 17 сентября 2024 года за № 754".

И добавили, что после ввода в эксплуатацию отель создаст 140 постоянных рабочих мест, а ежегодные налоговые отчисления составят более 475 млн тенге.

Почему водопровод, канализация и газ для частного отеля строятся на деньги налогоплательщиков...На этот вопрос ответа так и не прозвучало.

Кто строит и при чём тут маслихат

Инвестор проекта — компания "Тобол-Сити" зарегистрированная в ноябре 2023 года в Костанае. Учредителем и директором значится Бахытжан Тлеубаев, бывший депутат Костанайского областного маслихата VII созыва.

Координацию со стороны Marriott ведёт управляющий партнёр проекта Алексей Лукаш (Forward Consulting LTD). 

Сам Тлеубаев — предприниматель с многолетним стажем. Он упомянается в Сети в действующих компаниях: ТОО "Нурай-Н" (зерновые культуры, работает с 2003 года) и ТОО "Алтын Дан КЗ" (хранение зерна). 

То есть речь идёт не о начинающем бизнесмене, а об опытном игроке с устойчивыми аграрными активами и политическим прошлым.

Зона подтопления не помеха

Территория стройки, как пишут местные СМИ, не просто берег реки. Это зона, которую в апреле 2024 года накрыло паводком. Инженерные изыскания прямо указывают: участок расположен на аллювиальных грунтах, подверженных подтоплению, грунтовые воды на глубине 2-4,5 метра, а сама территория отнесена к "потенциально подтопляемым участкам первой степени".

Примечательно, что годом ранее другой инвестор планировал построить в Костанайской области отель сети Hilton, но отказался именно из-за рисков подтопления. Инвестора Courtyard by Marriott это не остановило. Также в акимате области Qumash.kz заявили, что и тут все в порядке. 

— Проект согласован со всеми соответствующими органами и прошёл государственную экспертизу. Предусмотрены мероприятия по защите объекта от паводковых угроз, — сказали в акимате. 

Развитие для кого?

Акимат называет частный проект вкладом в туристическую привлекательность региона. Площадку в ноябре прошлого года лично осмотрел аким Костанайской области Кумар Аксакалов.

Проект также включён в пул региональных инвестиционных инициатив, но детали инвестиционного контракта при этом засекречены: в акимате пояснили, что "сведения об инвестиционном проекте носят конфиденциальный характер".

— Это первый Courtyard by Marriott, который строится в республике. Мы уже согласовали все технические вопросы, документация прошла государственную экспертизу и предварительное согласование в сети Marriott International. Сейчас ведётся устройство фундаментной плиты, — говорил управляющий партнёр Алексей Лукаш в ноябре прошлого года акиму региона. 

Тогда отмечалось, что строительство займёт 20 месяцев, и первых гостей комплекс примет в сентябре 2027 года. Теперь, как следует из информации акимата, сроки сдвинули.

В итоге формула выглядит так: земля - государственная, коммуникации на 309,4 млн тенге - за бюджетный счёт, риски паводков - природные, прибыль - частная.

Подписывайтесь на официальный Telegram-канал Qumash.kz

читайте также

Введите текст и нажмите Enter либо Esc для отмены поиска